
Brutális állapotok uralkodnak a Balatonnál, ennek már a fele sem tréfa – Videó
Ahogy már korábban is beszámoltunk róla, alig egy évvel a drasztikus emelés után újra nőnek a közlekedési bírságok összegei. Augusztus közepétől még az eddiginél is többe kerül majd egy-egy kihágás, tehát innentől még hatványozottabban igaz lesz, hogy jobb félni, mint megijedni.
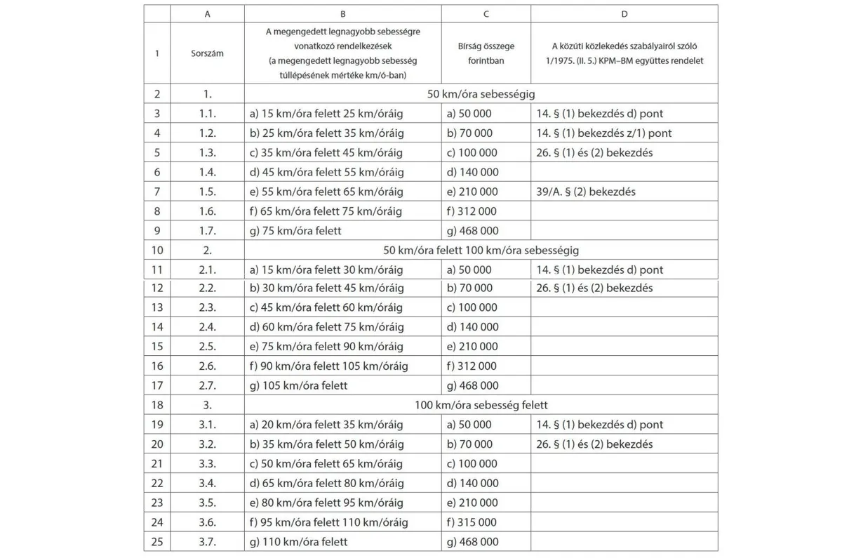
A Magyar Közlönyben július 31-én megjelentek szerint például a gyorshajtást legalább 50 ezer forintos csekkel „jutalmazzák” a rendőrök augusztus 16-ától. A legnagyobb kiszabható büntetés is óriásit emelkedik egy év leforgása alatt, hiszen eredetileg 300 ezer forint volt, tavalytól 390 ezer forintra nőtt, idén pedig 468 ezer forintra ugrik.

Fotó: Magyar Közlöny
Az objektív felelősség körébe tartozó további szabálytalanságokért is többet kell fizetniük a hónap közepétől a szabálytalankodóknak, mint például a leállósávban haladásért. Ezen kívül más besorolású kihágásokat elkövetni is jelentősen drágább lesz.
A címlapfotó illusztráció: MTI/Koszticsák Szilárd

Brutális állapotok uralkodnak a Balatonnál, ennek már a fele sem tréfa – Videó

Hatalmas lángok Miskolcon: egy társasház tetőszerkezete gyulladt ki Selyemrétnél

Pánik az Andrássy úton, fegyverrel mászkált egy férfi az utcán

Termékvisszahívás - Súlyos betegséget okozhat ez a népszerű termék

Gyászba borult Eger, köztiszteletben álló embertől vesznek végső búcsút

Lángok között találtak egy idős férfit a XII. kerületben, fotókon a borzalmas állapotok

Halálra kínoztak egy rabot egy budapesti börtönben

Kitálalt egy volt ukrán ügynök: Exkluzív részleteket árult el a TV2-nek Zelenszkij piszkos pénzeiről

Dráma Zamárdinál, hatalmas fák dőltek a vasúti sínekre - Videó

Dühében megölte a tinilányt, mert úgy tudta, hogy gyermekével várandós

E-roller miatt égett le egy kaposszekcsői lakás - Fotók

Orkánerejű szél csapott le a Balatonra - Kettészakadt az ország időjárása